

有一个酷好的问题:地球半径概况6371公里,地球赤说念的周长概况40000公里。假如在地球的赤说念牢牢捆住一根绳索,设半径为r,再把这根绳索加长1米,就得回一个赤说念的齐心圆,设半径为R。彰着,R-r便是齐心圆和赤说念之间的谬误,这个谬误确定大于零。当今问题来了,澳门在线赌钱娱乐网入口这个谬误能否钻过一只老鼠?
淌若你合计题目有点难,那么咱们不错得回一个想路,先镌汰难度,贬按捺题后再回到这个问题来想考,米兰体育官网就容易得多。
于是,咱们来贬责底下这个近似的低难度问题。

这个问题容易贬责。
相比2π(R+1)和2π(r+1),天然R远庞杂于r,可是相比的是增量,齐是2π,是以十分。实际上,出题敦厚问的是地球赤说念周长加多1米和乒乓球周长加多一米,半径的增量哪个更大?这么问更有诱骗性。考的是想考问题的逻辑。
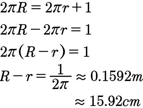
当今咱们开动解题。

上图便是谜底。
谜底是一个常数,与r或R无关。

回来:本题看似反直观,其实谜底存在势必性。谜底就藏在公式里:c=2πr
c代表圆周长,r代表圆的半径。


备案号: